|
44 | 별과 우주 |
갈릴레오식 망원경의 시야가 좁은 까닭
오늘날 굴절망원경에 흔히 사용되는 케플러식 망원경은 대물렌즈의 초점거리 바깥에 볼록한 접안렌즈를 설치하는 반면, 갈릴레오식 천체 망원경은 대물렌즈의 초...
|
조영우 | 2014.01.15 | 2008.10.15 | 25190 |
|
43 | 별과 우주 |
보름달과 상현/하현 사이의 달의 위상 명칭
천문학용어집은 보름달과 상현달 또는 보름달과 하현달 사이의 달에 대한 명칭으로 '현망간의 달'이라는 용어를 사용하고 있습니다. 이러한 개념을 확장해 보면 ...
|
조영우 | 2014.01.15 | 2008.11.16 | 21348 |
|
42 | 별과 우주 |
안시등급은 실시등급이 아닙니다.
안시등급은 실시등급이 아닙니다. 그 이유에 대해서는 맨 아래 참고 문헌의 첫번째 링크에서 설명하였습니다. 1. 국내 포털 싸이트의 잘못된 서술 먼저 국내외의 ...
|
조영우 | 2014.01.15 | 2008.11.24 | 21734 |
|
41 | 별과 우주 |
초점 조절을 위한 하트만 마스크 제작
초점 조절을 위하여 하트만 마스크를 제작하는 방법입니다. 하트만 마스크는 광학계의 입구를 막을 수 있는 마스크를 제작한 뒤, 마스크에 구멍을 뚫고, 이 구멍...
1 1
|
조영우 | 2014.01.03 | 2009.03.11 | 22536 |
|
40 | 별과 우주 |
초점 조절 - DSLR 사진기의 디스플레이 이용법
1. 개요 여기서 소개하는 초점 조절 방법은 이른바 FWHM 법의 일종입니다. 초점이 가장 잘 맞았을 때 점상이 가장 작다는 기본적인 원리를 이용한 것입니다. 맥심...
1
|
조영우 | 2013.12.13 | 2008.03.18 | 23827 |
|
39 | 별과 우주 |
내행성과 외행성의 운동과 관측 특성
아래 그림은 행성의 궤도 및 운동과 관측 특성을 매우 집약적으로 보여주고 있습니다. 행성의 운동 및 관측 특성을 어느 정도 이해하고 계시는 분이 볼 때 도움이...
2
|
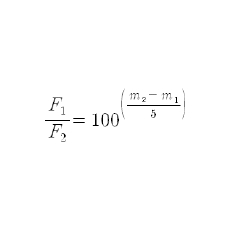
조영우 | 2013.10.25 | 2008.04.29 | 37643 |
|
38 | 별과 우주 |
등급의 정의와 관계식
사람의 눈은 외부에서 주어지는 빛의 자극에 대하여 로그함수적으로 반응합니다. 예를 들어 세 천체 A, B, C의 플럭스 밀도의 비가 1:10:100이라고 할 때, B는 C...
|
조영우 | 2013.02.06 | 2007.04.19 | 11550 |
|
37 | 별과 우주 |
망원경의 핵심 기능 - 빛 모으기(집광력)
망원경의 핵심적인 기능은 빛을 모으는 것입니다. 사람의 눈은 홍채를 이용하여 동공의 크기를 조절함으로써 눈 안으로 들어오는 빛의 양을 조절합니다. 밝은 곳...
|
조영우 | 2012.12.10 | 2004.03.23 | 13798 |
|
36 | 별과 우주 |
외합/합에 있는 금성/화성의 관측 가능성
이건 순전히 이론적인 고찰입니다. 지구의 공전 궤도 또는 황도에 대한 금성의 궤도 기울기가 3.39도이고 금성이 태양으로부터 0.723 AU 떨어져 있으니까 금성이 ...
|
조영우 | 2012.11.17 | 2004.04.13 | 14462 |
|
35 | 별과 우주 |
식(食, 蝕)이란 무엇인가?
식(食, 蝕)에 관해서는 다음 링크에서 다루었습니다. http://www.skyobserver.net/zbxe/47366
|
조영우 | 2012.06.17 | 2009.07.14 | 24696 |
|
34 | 별과 우주 |
식은 왜 일어나는가?
식은 왜 일어나는가? 지구의 관측자 입장에서 식 현상은 지구가 다른 천체의 그림자 속에 들어가거나 다른 천체가 지구의 그림자 속에 들어갈 때 일어납니다. 지...
|
조영우 | 2012.06.17 | 2009.07.14 | 26087 |
|
33 | 별과 우주 |
88개의 별자리
나라마다 별자리가 조금씩 다르기 때문에 불편한 점이 많이 있었다. 이러한 불편함을 없애기 위해서 국제천문연맹에서는 하늘 전체를 88개의 별자리로 나누어 사...
|
Kevin | 2012.04.29 | 2009.02.11 | 18967 |
|
32 | 별과 우주 |
우리 은하는 막대나선은하
모식도 제공 : R. Hurt (SSC), JPL-Caltech, NASA 탐사 팀 : GLIMPSE Team 출처 : Astronomy Picture of the Day, http://antwrp.gsfc.nasa.gov/apod/astropix.ht...
|
조영우 | 2012.04.29 | 2007.08.03 | 19782 |
|
31 | 별과 우주 |
올버스의 역설
올버스의 역설 Olbers' paradox 우주가 무한 개수의 별로 가득 찬 무한대의 정적(static)인 우주라면, 우주의 어느 곳을 보아도 거기엔 별이 있어야 합니다. 또한...
|
조영우 | 2012.04.29 | 2008.01.14 | 18866 |
|
30 | 별과 우주 |
겉보기 등급과 절대 등급, 거리 지수
주요어: 거리지수, 거리 지수, 겉보기 등급, 절대 등급 이 글을 읽기 전에 등급의 정의와 관계식을 먼저 읽어보시기를 권합니다. 이 글과 연속적으로 구성되어 있...
|
조영우 | 2011.06.07 | 2007.04.19 | 19113 |
|
29 | 별과 우주 |
태양 흑점 관측용 격자 (Stonyhurst Disk)
태양의 흑점을 관측할 때 태양의 위도와 경도를 배경으로 할 수 있도록 만들어진 격자인 Stonyhurst Disk입니다.태양의 적도면과 황도면이 일치하지 않는 효과로 ...
2
|
조영우 | 2010.11.03 | 2008.05.26 | 23246 |
|
28 | 별과 우주 |
태양의 투영과 시야의 좌표
태양을 투영판에 투영하여 관찰할 때 시야의 좌표가 어떠한지를 살펴보겠습니다. 관측자는 지평선의 북쪽을 향해 투영판을 관찰하고 있습니다. 먼저 접안렌즈를 ...
1
|
조영우 | 2009.12.20 | 2008.11.07 | 25920 |
|
27 | 별과 우주 |
육안관측, 안시관측, 사진관측, CCD 관측의 구별
육안 관측 - 맨눈(unaided eye)으로 관측함을 뜻합니다. 망원경을 사용하지 않은 관측인 경우에 해당합니다. 안시 관측 - 눈으로 관측하는 것을 가리킨다는 점에...
|
조영우 | 2009.11.25 | 2008.04.04 | 22056 |
|
26 | 별과 우주 |
Canon EOS 벌브 노출 제어 케이블 제작
Canon EOS 벌브 노출 제어 케이블을 제작해 보았습니다. 벌브(bulb) 노출이란 '셔터를 누르는 동안의 노출'을 의미합니다. 30초 이상의 노출을 포함하여 셔터를 ...
5
|
조영우 | 2018.10.12 | 2006.11.23 | 18172 |
|
25 | 별과 우주 |
일주 운동 촬영을 위한 장비 (고정 촬영)
고정 촬영은 점상 촬영과 자취 촬영, 다중 노출 촬영에 응용할 수 있습니다. 일주운동 촬영은 고정 촬영을 통해 긴 노출 시간으로 별들의 자취를 촬영하는 자취 ...
1
|
조영우 | 2009.09.23 | 2009.05.27 | 24635 |